- Jumlah paparan: 2611
Hebahan Program Usrah Nurani Siri 1/2021 Anjuran Bersama Sekretariat HELWA PIUMS & Biro Hal Ehwal Agama Dan Kebajikan KESUMBA
Pengumuman Daripada: Pusat Islam UMS

Pengumuman Daripada: Pusat Islam UMS

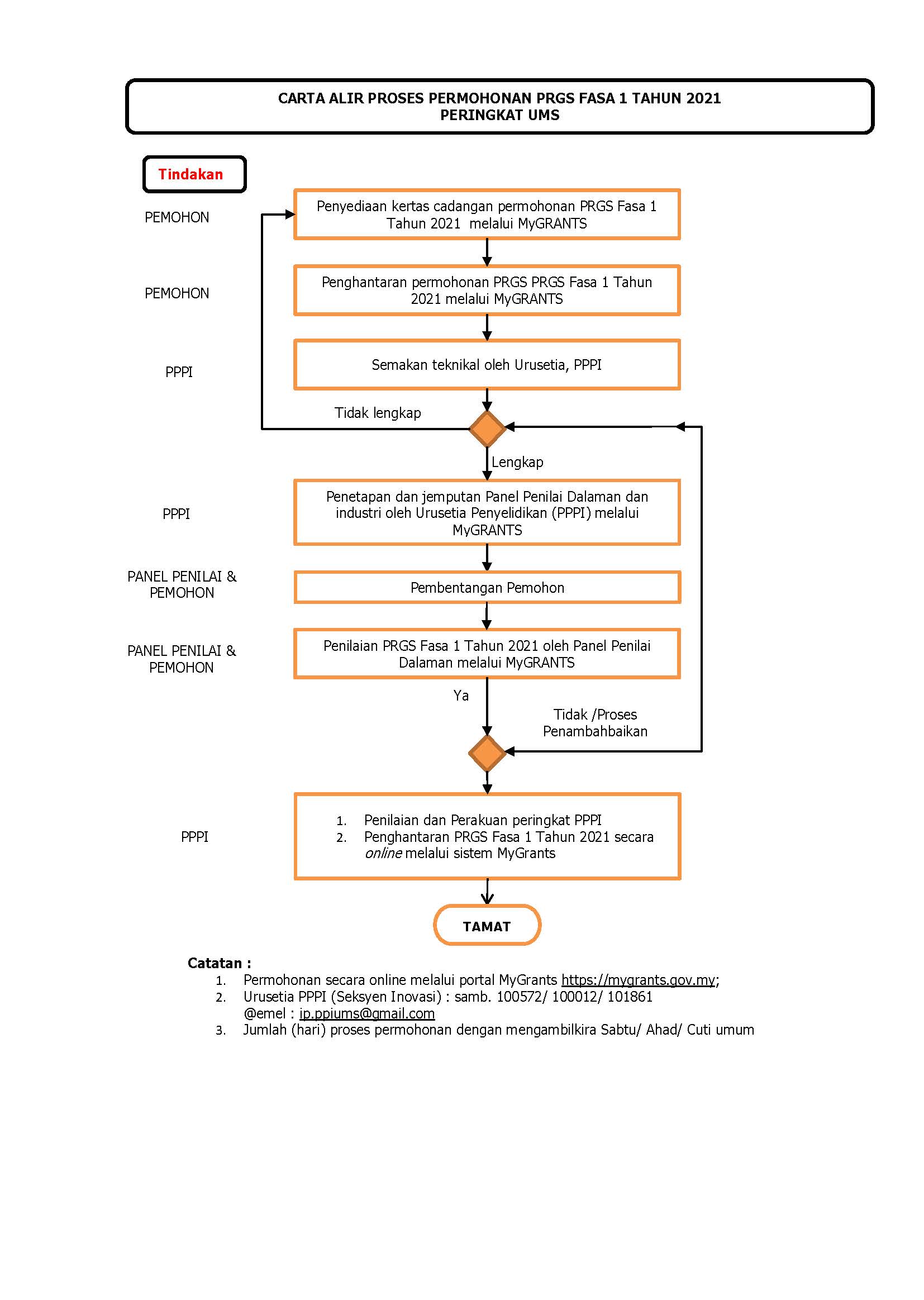
Pengumuman Daripada: Seksyen Inovasi, Pusat Pengurusan Penyelidikan dan Inovasi (PPPI)
Lampiran: GARIS PANDUAN PRGS (PINDAAN TAHUN 2021) (.pdf)


Pengumuman Daripada: Jabatan Teknologi Maklumat dan Komunikasi
Dimaklumkan bahawa capaian ke Sistem SmartV3 E-Learning UMS akan mengalami sedikit gangguan sementara disebabkan kerja-kerja penyelenggaraan pelayan di Pusat Data JTMK. Penyelenggaraan dijalankan mengikut ketetapan berikut:
Tarikh : 19 Januari – 20 Januari 2021
Masa : 9.00 Malam (19 januari 2021) Hingga 7.00 Pagi (20 Januari 2021)
Lokasi : Pusat Data, JTMK
Segala kesulitan amat kami kesali.
Peringatan daripada JTMK:
1. Atas isu keselamatan, sila abaikan emel yang meminta Password Webmail UMS anda.
2. Sila berhubung dengan Pihak JTMK jika tidak pasti kesahihan email berkenaan.
Pengumuman Daripada: Pusat Kecemerlangan Pengajaran Dan Kualiti Akademik (PKPKA)
PEMAKLUMAN: Pejabat Pusat Kecemerlangan Pengajaran dan Kualiti Akademik telah beroperasi sepenuhnya di Aras 6, Blok Utara, Bangunan Canselori bermula 19 Januari 2021. Walau bagaimanapun sepanjang tempoh Perintah Kawalan Pergerakan (PKP), semua perkhdmatan berkaitan adalah secara atas talian /virtual sahaja.
PENGUMUMAN DARIPADA: BAHAGIAN SUMBER MANUSIA

![]()
Terma Pengguna | Penafian | Dasar Privasi | Polisi Keselamatan | Dasar Hak Cipta | Paparan Terbaik 1366x768